Quiz yourself on math concepts by generating a practice quiz based on an equation you're solving. Math Assistant will work with Microsoft Forms to create a practice quiz of up to 20 questions featuring similar problems to your original problem, then embed it on your OneNote page. You can create as many practice quizzes as you like.
Warning: For now, this feature is only available on OneNote for the web with a valid Microsoft 365 subscription. We're working to bring the updated experience to OneNote for Windows and OneNote for iPad soon.
Create a practice quiz from any math problem
OneNote can generate problems that are similar to those you're assigned to help you practice the steps of solving equations.
-
First, solve your equation using Math Assistant.
-
Next, select Generate a practice quiz. You may be prompted to sign into Microsoft Forms using your school account.
-
Type in the number of questions you'd like to be included in your practice quiz. You may enter up to 20.
-
Select Generate quiz. Microsoft Forms will automatically insert the quiz onto your open OneNote page. You can interact with the quiz entirely in OneNote, or click the Microsoft Forms link to take the quiz at https://forms.office.com instead. To take the quiz, select an answer for each multiple choice question and select Submit. From there, select View results to see your score and the questions you answered correctly and incorrectly.
Learn More
Solve math equations with Math Assistant in OneNote
Draw graphs of math functions with Math Assistant in OneNote
What types of equations can be generated in a practice quiz?
You can generate a practice quiz for the types of equations below. The problems in the practice quiz will be similar to the original equation you entered into the generator. The solutions will be responsive to the same types and scale of numbers (integers, rational or real numbers) that were entered with the problem. Some answer choices may be wrong, “distraction” answers that take into account common mistakes that can be made while solving that specific problem.
The following list works best for integer coefficients and integer solutions.
Arithmetic
-
Addition (with or without regrouping)
-
Subtraction (with or without regrouping)
-
Multiplication
-
Division
Equations and inequalities
-
Linear equations
-
Elementary linear equations such as:
-
-
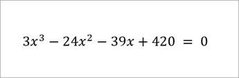
Quadratic equations (supports rational and complex solutions)
-
Standard form, as pictured here.
-
When you generate a quiz, practice questions will reflect the equation you insert. If you insert an equation with integer solutions, you will have similar equations in your quiz.
If you enter an equation with complex solutions, your quiz will only contain quadratic equations with complex solutions.
-
Equations in the form:
-
Linear inequalities
-
Elementary linear equations such as:
-
-
Quadratic inequalities
-
Standard form, as pictured
-
Note: The following types of equations can be used to create a practice quiz, but the incorrect "distraction" answers will not be based upon common errors.
Expressions
-
Arithmetic expressions
-
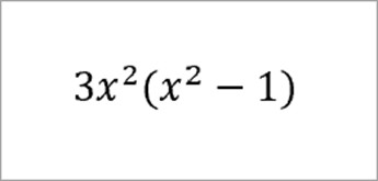
Expand
-
Factor
-
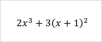
Differentiate (only available for polynomials)
-
Integrate (only available for polynomials)
-
Equations and inequalities
Learn More
Create a Math quiz in Microsoft Forms