Applies To
Excel for Microsoft 365 Excel for Microsoft 365 for Mac Excel for the web Excel 2024 Excel 2024 for Mac Excel 2021 Excel 2021 for Mac Excel 2019 Excel 2016

Estimates standard deviation based on a sample (ignores logical values and text in the sample).

The standard deviation is a measure of how widely values are dispersed from the average value (the mean).

Syntax

STDEV.S(number1,[number2],...)

The STDEV.S function syntax has the following arguments:

  • Number1     Required. The first number argument corresponding to a sample of a population. You can also use a single array or a reference to an array instead of arguments separated by commas.

  • Number2, ...     Optional. Number arguments 2 to 254 corresponding to a sample of a population. You can also use a single array or a reference to an array instead of arguments separated by commas.

Remarks

  • STDEV.S assumes that its arguments are a sample of the population. If your data represents the entire population, then compute the standard deviation using STDEV.P.

  • The standard deviation is calculated using the "n-1" method.

  • Arguments can either be numbers or names, arrays, or references that contain numbers.

  • Logical values and text representations of numbers that you type directly into the list of arguments are counted.

  • If an argument is an array or reference, only numbers in that array or reference are counted. Empty cells, logical values, text, or error values in the array or reference are ignored.

  • Arguments that are error values or text that cannot be translated into numbers cause errors.

  • If you want to include logical values and text representations of numbers in a reference as part of the calculation, use the STDEVA function.

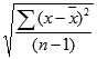
  • STDEV.S uses the following formula:

    Formula

    where x is the sample mean AVERAGE(number1,number2,…) and n is the sample size.

Example

Copy the example data in the following table and paste it in cell A1 of a new Excel worksheet. (Do not copy the cell containing the word "Data".) For formulas to show results, select them, press F2, and then press Enter. If you need to, you can adjust the column widths to see all the data.

Data

Strength

1345

1301

1368

1322

1310

1370

1318

1350

1303

1299

Formula

Description

Result

=STDEV.S(A2:A11)

Standard deviation of breaking strength.

27.46391572

Need more help?

Want more options?

Explore subscription benefits, browse training courses, learn how to secure your device, and more.