Applies To
Excel for Microsoft 365 Excel for Microsoft 365 for Mac Excel for the web Excel 2024 Excel 2024 for Mac Excel 2021 Excel 2021 for Mac Excel 2019 Excel 2016

Returns the gamma distribution. You can use this function to study variables that may have a skewed distribution. The gamma distribution is commonly used in queuing analysis.

Important: This function has been replaced with one or more new functions that may provide improved accuracy and whose names better reflect their usage. Although this function is still available for backward compatibility, you should consider using the new functions from now on, because this function may not be available in future versions of Excel.

For more information about the new function, see GAMMA.DIST function.

Syntax

GAMMADIST(x,alpha,beta,cumulative)

The GAMMADIST function syntax has the following arguments:

  • X     Required. The value at which you want to evaluate the distribution.

  • Alpha     Required. A parameter to the distribution.

  • Beta     Required. A parameter to the distribution. If beta = 1, GAMMADIST returns the standard gamma distribution.

  • Cumulative     Required. A logical value that determines the form of the function. If cumulative is TRUE, GAMMADIST returns the cumulative distribution function; if FALSE, it returns the probability density function.

Remarks

  • If x, alpha, or beta is nonnumeric, GAMMADIST returns the #VALUE! error value.

  • If x < 0, GAMMADIST returns the #NUM! error value.

  • If alpha ≤ 0 or if beta ≤ 0, GAMMADIST returns the #NUM! error value.

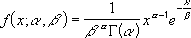
  • The equation for the gamma probability density function is:

    equation

    The standard gamma probability density function is:

    Equation

  • When alpha = 1, GAMMADIST returns the exponential distribution with:

    Equation

  • For a positive integer n, when alpha = n/2, beta = 2, and cumulative = TRUE, GAMMADIST returns (1 - CHIDIST(x)) with n degrees of freedom.

  • When alpha is a positive integer, GAMMADIST is also known as the Erlang distribution.

Example

Copy the example data in the following table, and paste it in cell A1 of a new Excel worksheet. For formulas to show results, select them, press F2, and then press Enter. If you need to, you can adjust the column widths to see all the data.

Data

Description

10.00001131

Value at which you want to evaluate the distribution

9

Alpha parameter to the distribution

2

Beta parameter to the distribution

Formula

Description

Result

=GAMMADIST(A2,A3,A4,FALSE)

Probability density using the x, alpha, and beta values in A2, A3, A4, with FALSE cumulative argument.

0.032639

=GAMMADIST(A2,A3,A4,TRUE)

Cumulative distributuion using the x, alpha, and beta values in A2, A3, A4, with TRUE cumulative argument.

0.068094

Need more help?

Want more options?

Explore subscription benefits, browse training courses, learn how to secure your device, and more.